EXAMPLE 2.5.11
Select the statement that is a valid conclusion from the following premises, if a valid conclusion is warranted.
If I invest wisely, then I won't lose my money.
If I don't invest wisely, then I buy junk bonds.
If I read Investor's Weekly, then I won't buy junk bonds.
A. If I invest wisely, then I read Investor's Weekly.
B. If I buy junk bonds, then I don't invest wisely.
C. If I lose my money, then I don't read Investor's Weekly.
D. If I eat junk food, then I invest weakly.
E. None of these is warranted.
SOLUTION
Let p be the statement "I invest wisely."
Let q be the statement "I don't lose my money."
Let r be the statement "I buy junk bonds."
Let s be the statement "I read Investor's Weekly."
The premise scheme has this symbolic form:
![]()
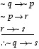
In order to use Transitive Reasoning, we want the first premise to be one whose antecedent is a variable that appears only one time. Since q appears only one time, we can replace the first premise with its equivalent contrapositive; we will then leave the second premise as it is, and replace the third premise with its contrapositive:
![]()
Now we can form a valid argument:

In words, the valid conclusion is "If I lose my money, then I didn't read Investor's Weekly." This is choice C. Another correct conclusion would be "If I read Investor's Weekly, then I don't lose my money."