EXAMPLE 2.5.10
Select the statement that is a valid conclusion from the following premises,
if a valid conclusion is warranted.
If I win the Lotto, then I won't need a job.
If I have lots of bills, then I will need a job.
A. If I have lots of bills, then I didn't win the Lotto.
B. If I didn't win then Lotto, then I have lots of bills.
C. If I don't need a job, then I won the Lotto.
D. A valid conclusion is not warranted.
SOLUTION
Let p be the statement "I win the Lotto."
Let q be the statement "I won't need a job."
Let r be the statement "I have lots of bills."
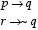
The premises have this symbolic scheme:
![]()
In order to use Transitive Reasoning the antecedant of the second premise must agree with the consequent of the first premise. This can be achieved if we replace the second premise with its equivalent contrapositive:
![]()
Now we can form a valid argument:
![]()
In words the valid conclusion is "If I win the Lotto, then I don't have lots of bills." Thisa, however, is not among the listed choices. Not that our conclusion is equivalent to its contrapositive: "If I have lots of bills, then I didn't win the Lotto."
The correct choice is A.