EXAMPLE 2.3.10 Solution
Let p be the statement "I get elected."
Let q be the statement "I reduce taxes."
Let r be the statement "The economy will prosper."
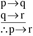
The argument has this symbolic form:
If you make a truth table having a column for each premise and a column for the conclusion, you will see that the argument is VALID.
Here's the truth table:

Notice that in this truth table there is NO ROW in which both premises are true while the conclusion is false.
The absence of such a "bad row" indicates that the argument is VALID.