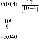
EXAMPLE 1.5.7 SOLUTION Hint: since we are choosing a subset of 4 people from a set of 10 people, and arranging the four people according to relative strength, the answer can be obtained by computing P(10,4).