MAC 2313 - Section 03 - Fall 2003
Picture of Monica K. Hurdal Lateral Right View of Neural Tissue


MONICA K. HURDAL
Teaching


Phone: +1 850 644-7183   
Fax: +1 850 644-4053
E-mail: mhurdal@math.fsu.edu


MAC 2313

Related Pages: Course Home Page | Syllabus | Homework


Test 1 Review: Test on Tues Sep 23
Sample Test 1 (35K PDF file)
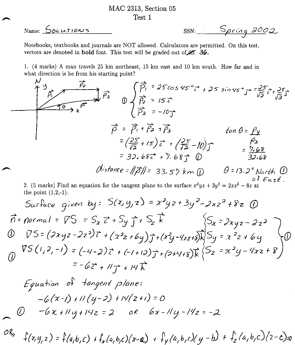
Solutions to Sample Test 1: pg 1 (38K GIF file)
Solutions to Sample Test 1: pg 2 (29K GIF file)
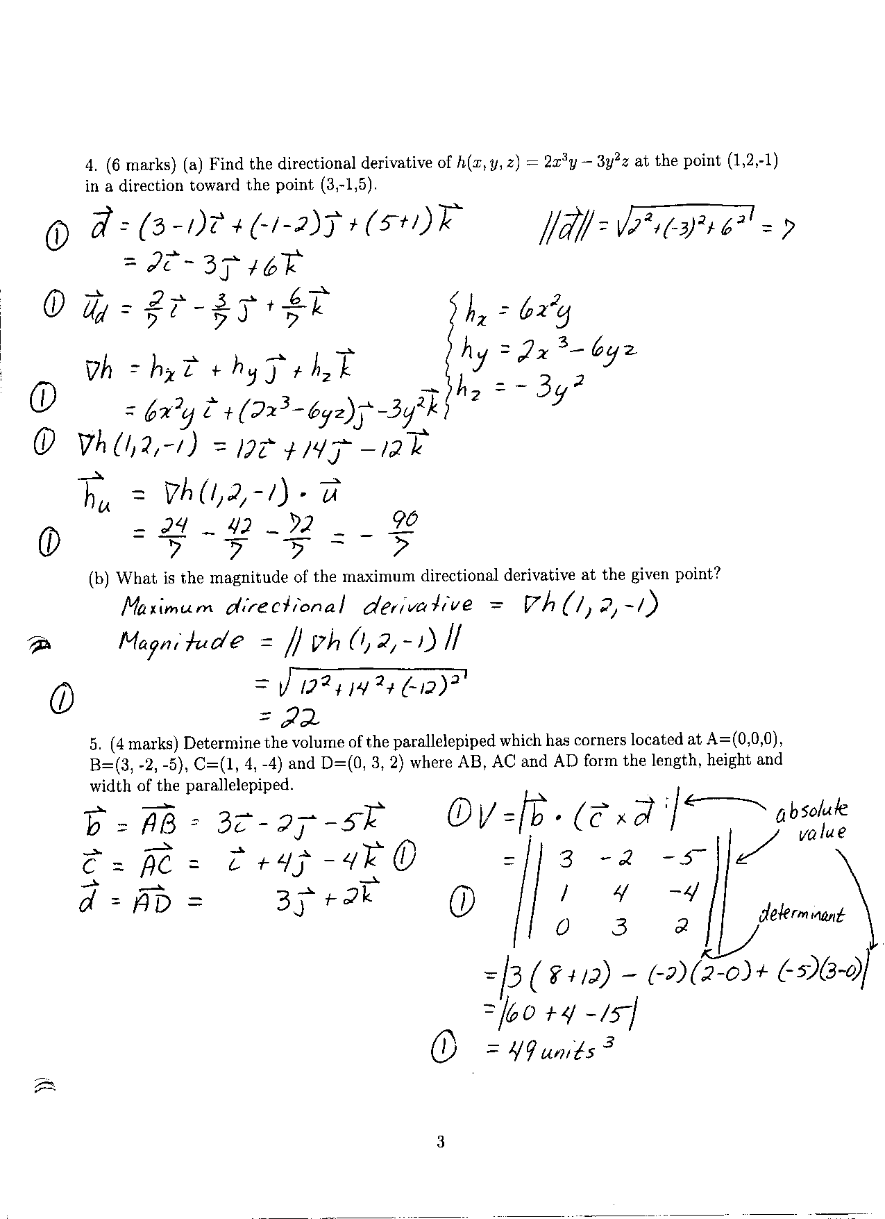
Solutions to Sample Test 1: pg 3 (37K GIF file)
Solutions to Sample Test 1: pg 4 (36K GIF file)
Solutions to Sample Test 1: pg 5 (26K GIF file)
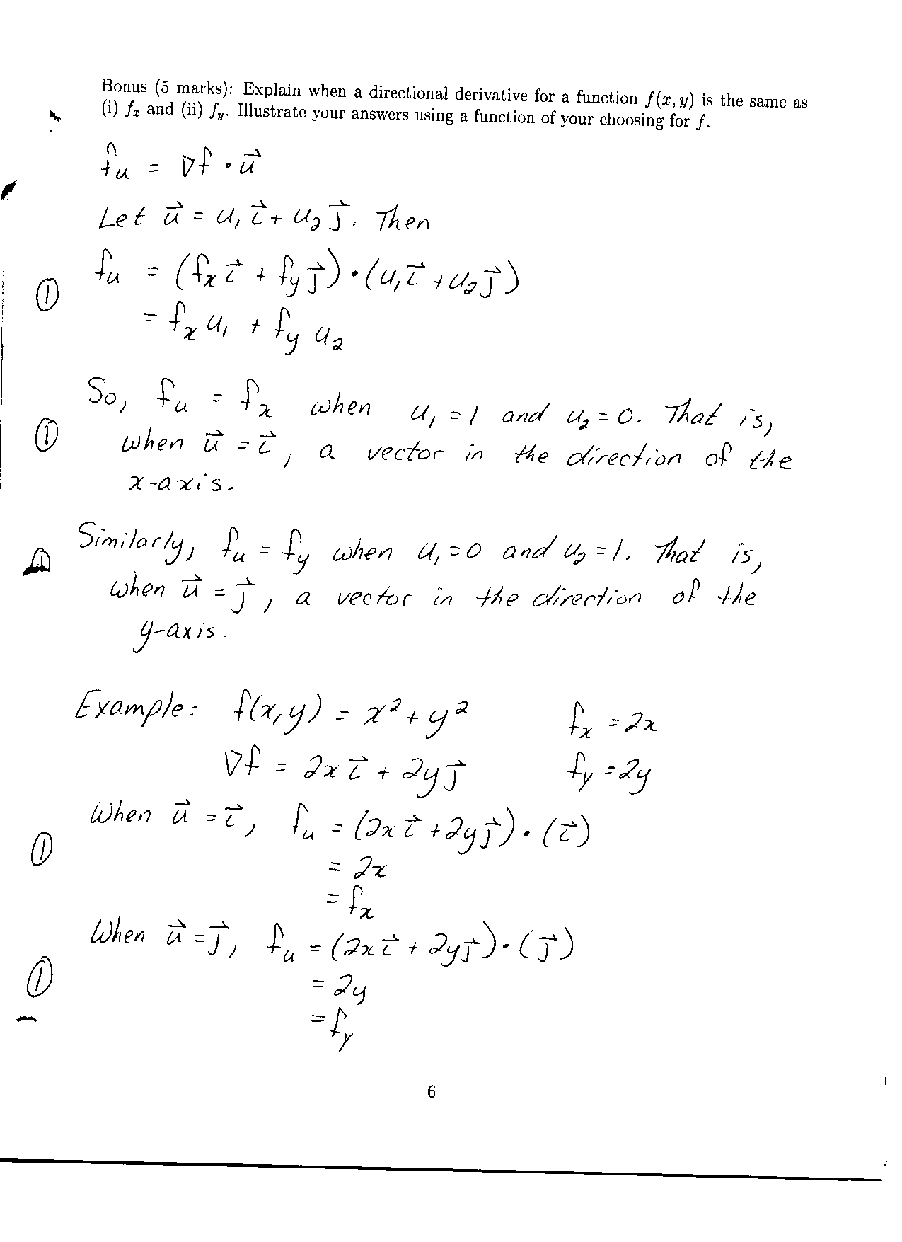
Solutions to Sample Test 1: pg 6 (33K GIF file)
Note: Questions 2 & 7 on sample test are different than what we covered in class because they use functions of 3 variables. We only did tangent planes and linear functions for functions of 2 variables. They would make good bonus questions though.


Home Page


Copyright 2003 by Monica K. Hurdal. All rights reserved.